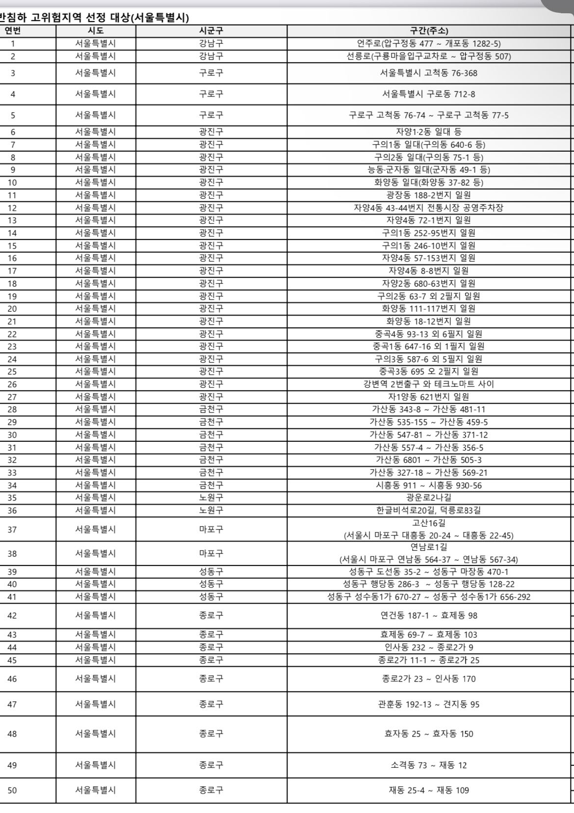
[MBC 단독] 서울시가 숨긴 싱크홀 위험지역 50곳 엠비씨가 공개함
무명의 더쿠
|
04-08 |
조회 수 64026

안전을 위해 공개한다고 ㄷㄷ
보니까 자치구 8곳만 제출해서 50곳이고 이번 싱크홀 일어난 강동구는 아예 조사를 안 한 듯
주소 엠사가 풀어줌

① 〈서울시 지반침하 고위험지역 50곳 목록〉 (2024.10 각 자치구 취합 후 국토부 보고)
https://image.imnews.imbc.com/pdf/society/2025/04/20250408_1.pdf
② 〈서울시 지반침하 고위험지역 50곳 지도〉
https://image.imnews.imbc.com/pdf/society/2025/04/20250408_2.pdf