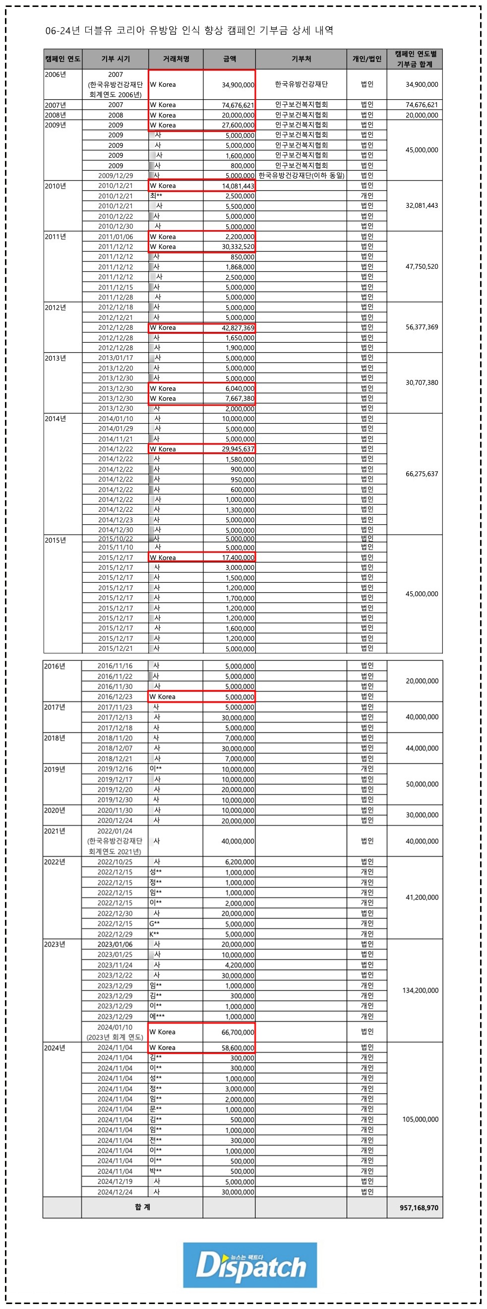
[디스패치 단독] "그 11억은, 꼼수입니다"…W코리아, 기부 내역 체크
무명의 더쿠
|
10-19 |
조회 수 69000
요약: 더블유에서 디패에 해명해달라고 기부 내역서 보냈는데 디패가 살펴보니까 이상해서 더 ㅈ됨
https://m.entertain.naver.com/home/article/433/0000121859










요약: 더블유에서 디패에 해명해달라고 기부 내역서 보냈는데 디패가 살펴보니까 이상해서 더 ㅈ됨
https://m.entertain.naver.com/home/article/433/0000121859










[주의] 이 글을 신고합니다.