n종류가 있는 쿠폰을 하나씩 뽑을때, 모든종류를 적어도 하나이상 뽑기위한 확률이 00가 되기위해 몇번을 뽑아야할까
(정확히는 표준편차에 다다르기위해 몇번을 뽑아야할까 지만)
라는 문제
물론 개개의 확률은 독립시행이므로 과거의 결과가 영향을 주지 않지만
통계를 따져보면 xx번 뽑은사람 중 아무나 뽑아보면 00퍼의 확률로 올콜렉한사람이다라는 결과 값이 나옴
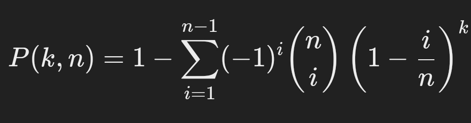
계산식은 복잡한데
포함배제(n개의 집합들의 합집합의 원소의 개수를 세는 원리)의 원리를 이용하여

의 수식으로 구할수 있다고 chat gpt가 알려줌(수식을)
물론 확률분포도상 n타n피한 초럭키인간도 100번을 뽑았는데 올콜못한 초불행인간도 있지만 내가 00번뽑으면 올콜한 사람에 들어갈 확률이 이정도겠구나 까지는 계산이 가능함